按照GB/T20392—2006《HVI棉纖維物理性能試驗方法》的要求,把細絨棉待測樣品放在溫度為(20±2)℃,濕度(65±3)%的恒定溫濕度環境條件下平衡24h后,測試棉纖維的上半部平均長度、斷裂比強度、馬克隆值,計算試驗的標準差,對測試產生的不確定度進行評定。
1棉纖維上半部平均長度不確定度的評定 1.1測試原理 棉纖維沿其長度方向被梳夾隨機夾持,排列在梳夾上,構成棉須。光學系統對棉須從根部到梢部進行掃描,根據透過棉須光通量的變化,獲得精確的照影儀曲線,計算出各項長度指標,從電腦上顯示出來。 1.2測試過程 從顯示屏顯示的菜單中選定長強校準程序,選擇兩個已具有上半部平均長度、長度整齊度標定值的校準棉樣,按照儀器提示的指令進行校準。然后進入測試程序,對每個樣品作一組試樣的測定以驗證校準情況,使校準棉樣的實測值符合要求。待驗證通過后,從待測樣品中取出試驗試樣,將樣品放在取樣樣器上,按下測試按鈕,樣品自動進行測試,顯示屏顯示測定值及相關信息,同時顯示下一道測試的指令,再進行同一樣品下一試驗試樣的測試,每個樣品測試10個試驗試樣。 1.3數學模型
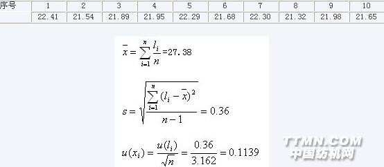
1.4不確定度來源 1)重復性測試引起的不確定度 2) 環境溫濕度的影響所引起的不確定度 3) 標準物質校準引起的不確定度1.5不確定度分量的評定 1.5.1測試過程隨機效應導致的不確定度 對同一個棉花樣品的10個試驗試樣進行測試,測定的上半部平均長度值如表1。表1 上半部平均長度測試結果
1.5.2標準棉樣校準引入的不確定度 根據HVICC校準棉樣的校準允差規定,上半部平均長度的允差為:±0.4mm。則校準棉樣校準所引起的不確定度,可按均勻分布考慮
1.5.3環境溫濕度所引起的不確定度 環境溫濕度對棉纖維長度有一定影響,但HVI測試棉纖維上半部平均長度都是在溫度為(20&plu
相關信息 







推薦企業
推薦企業
推薦企業