陳立秋 前處理工藝裝備近年來節能減排方面有著明顯的進步。這是形勢所逼,環保法規的嚴要求,企業生際必須降低生產成本,壓力轉化為動力,出現了高效的燒毛裝備,高給液冷軋堆、軋蒸工藝的應用,各種高效水洗工藝裝備,濕布絲光、扎堆絲光工藝的應用,色織布脫色擴散蒸發燒堿回收裝置應適而生。
1.節能降耗的燒毛工藝裝備 燒毛工藝質量的優劣直接影響紡織品最終外觀、實物檔次、風格反服用性能。為去除暴露在紗線表面的纖維末端,必須進行燒毛工藝。未燒毛的織物比已燒毛的易沾污,優良的燒毛質量,令布面光潔滑爽。染色色澤鮮艷度高,干、濕摩擦牢度好,正確的燒毛工藝則可有效地改善麻類織物刺癢感;燈芯絨經火焰噴射,圓筒接觸燒毛后,既能將溝坑中絨毛去除,又能使條絨頂部圓潤。令布面條紋清晰,且帶有神秘的光艷:合成纖維經燒毛后,起球現象極大改善;采用先進的接觸燒毛機。對小棉結較多的坯布,能提高小棉結的去除率,從而減輕前處理退漿、精練的負擔;深色匹染產品的云斑,往往因布面突出的纖維形成漫反散所致,經燒毛工藝后,云斑得以防止;而經燒毛的優質半制品,則是精細印花的前提。上述種種情況表明,燒毛工藝極其重要、不可而缺。 就燒毛工藝而言,節能、降耗、少污染是當前發展的方向。應用高效節能火口和無煙塵污染燒毛單元裝置,合理控制火焰幅寬、最佳油氣比,是染整企業設備選型、老機改造的首選方案。 1.1高效低成本的電熱接觸燒毛 接觸式燒毛是純棉、麻類和絨類織物前處理燒毛工序中極為重要的技術方案。 國產銅板燒毛機,技術含量低、耗能高、工人勞動強度大、煙氣污染嚴重,不適應現代清潔生產的需要。引進的日本圓筒接觸式燒毛機,其結構是以灼熱轉動的金屬圓筒為主的加工裝置,圓筒的一端有一個軸向噴射式燃燒器,其圓形火焰噴射口正對著圓筒內腔,噴射出杏黃色大火焰。圓筒的另一端接連煙囪,其燃燒產物、熱煙氣從煙囪中排出。該設備噴嘴易堵塞,能耗很大,煙氣污染重。從燒毛加工
圖1 自動摔制火焰高唐、幅簾啟動流程 揚州志成紡織機械有限公司制造的Y型多混聚噴2.高給液冷軋堆、軋蒸工藝 染整企業水電汽的高消耗,成本飚升,迫使傳統的退漿、煮練、漂白冗長復雜的前處理工藝流程更新。短流程必然導致化學品濃度的增加,濃度高將引起溶液發生沉淀和分解,不利于工藝液在織物上滲透、擴散,給織物、機器和操作者本身帶來或多或少的危險性。因此,在化學品總量不變,降低濃度,必須提高織物的帶液量,而透芯高給液就成為前處理短流程工藝的關鍵了。 濕-濕加工中給液是完善的前處理的關鍵,對織物進行最佳的施加溶液是非常重要的,這就是說:將化學品助劑施加到正確的地方,即在織物幅寬上、長度上及橫截面上的均勻透芯分布;只施加上必要的量,即織物所能帶的最高液量,無工藝溶液從織物上淌滴流失。對一臺先進的給液設備應符合:高度的氣液交換;小液量浸漬槽;可控制的給液;施加結果的重現性。 高給液裝置是前處理短流程工藝條件的核心裝備。高給液裝置是冷軋堆堿氧一浴工藝、快速高效練漂和酶退漿、煮練工藝的關鍵單元機。低濃度高液量的工藝液均勻滲透織物,是確保織物裝置在反應過程中,能安全地充分完成化學和物理的各項萃取作用,為去雜、凈洗奠定基礎;是改變“表面文章”的浸漬、軋
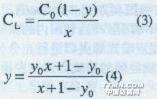
1-可調壓力加壓輥;2-主動輥;3-液下導布輥;4-固定波形槽板;5-可升降活動波形板;6-升降氣缸;7-進布輥;8-出布輥;9-回液管;10-進液管;11-刮液器;12-小軋車;13-泵;14-加壓汽缸;15-機架;16-液槽;17-清洗排放管路;18-液面 圖2 LK-I高給液裝置示意 施液特點:①波形狹縫槽在織物通過工藝液時形成湍流,對織物實施搓揉,利于滲透;②創新的液下軋液,令織物中空氣壓出,出軋點卸壓,織物仍在液下進給,織物纖維的回彈,形成一定量的真空區,較長的后續增液槽中工藝液在大氣壓力下,以及波形板形成的湍流下,逼迫滲入織物的經緯紗線的交織間隙及纖維的毛細管道內,完成透芯施液過程;⑨為提高高給液的均勻度,液下軋車采用中固輥;④氣動隔膜泵(13)連接進液管(10)、回液管(9),脈沖輸液,有利于透芯施液;⑤根據不同織物組織結構,施液量可調節在100%~150%,織物進給中,表面無滴水、淌水現象。工藝實踐佐證:提高織物的反應效果;節省化學品助劑。 2.2某公司采用高給液裝置技術改造,打卷采用牛心收卷、堆置,不僅毛效、白度優于傳統的兩浸兩軋被動打卷,而且化學品助劑成本減少了一半,使碉氧一浴法工藝成本下降到退煮漂三步法的45%。 2.3網簾式組合蒸箱由于汽蒸時間長,時有樹枝、雞爪褶皺痕發生,經將進布處浸軋槽、軋車換成高給液后,低濃度大液量的工藝溶液透芯滲入織物,確保織物堆置反應過程中能充分完成化學的和物理的各項萃取作用,為去雜、凈洗奠定基礎;進入組合蒸箱后,是有效防范風干痕、橫檔痕、堿斑、褶皺渚多弊端的重大對策。 2.4絲光軋堿采用透芯高給液,有利將黏度大的工藝濃堿液輸送至纖維的“無定形區”,為堿水化合物通暢地3.節能減排的水洗工藝技術 高效水洗應符合費克定律的傳質要旨水洗物質交換方程式如下: G=(D/H)/(C1-C2) (1) 上式(1)可知,要達到高效水洗的效果,重要我是具有高擴散系數(D);高的濃度梯度(C1-C2),C1是織物上污物濃度、C2是洗液內污物濃度;縮短擴散路程(H)。 3.1提高濃度梯度的逆流水洗 實際洗滌時,從節能的觀點出發,也需要盡量減少用水量,但減少用水量,從織物上落入洗滌液的洗除物使洗滌液更污穢,洗滌效果會隨之降低。在其他條件完全相同,僅僅改變洗滌液的濃度的情況下,洗除物殘留率用式(2)表示:
式中,CL為洗滌液中洗除物的濃度,g/mL;C0為洗滌前織物上洗除物的濃度,g/mL;y0為在同一條件下,采用完全不含洗除物的洗滌液洗滌時,洗除物殘留率。 該式是假定洗滌前后織物中的水分不變,纖維不對洗除物選擇性吸收的情況下的公式,同實驗結果非常一致。 假如使用的洗滌水為織物中所含水分的X倍,由于物質均衡,式(3)便成立,且由式(2)和式(3),可以導出式(9):
圖3表示洗滌液中,洗除物濃度為零時殘留率為1/2和1/10兩種情況,由式(4)計算得出的洗滌,水量同洗除物殘留率的關系。 洗滌效果不良的機器(yo=1/2),即使增加用水量,洗滌效果提高也不顯著。在這種情況下,常常用提高洗滌溫度或延長洗滌時間等方法來提高洗滌效果,而用減少洗滌水量來達到節能的目的。
相反。洗滌效果良好的機器(y0=1/10),多量地使用洗滌水有效果。但在這樣的情況下,可以分為幾種方式,后述以逆流方式使用洗滌水來節約洗滌水,是其中一種方式。
相關信息 







推薦企業
推薦企業
推薦企業